Lompat ke konten Lompat ke sidebar Lompat ke footer

Soal Un Smk Pertanian Dan Jawabannya : Pembahasan Soal Ujian Nasional Matematika Smk Teknologi 2017 2018 Bagian 1 No 1 10 Youtube - Contoh soal pertanian dan jawabannya.

Soal Un Smk Pertanian Dan Jawabannya : Pembahasan Soal Ujian Nasional Matematika Smk Teknologi 2017 2018 Bagian 1 No 1 10 Youtube - Contoh soal pertanian dan jawabannya.. Soal latihan dan pembahasan un matematika smk 2017 jawab latihan ujian matematika p 1a. Soal semester 1 agribisnis tanaman buah xii atph. Pilihlah jawaban yang paling tepat dengan memberi tanda silang (x) dilembar jawaban. Soal unbk sma ma 2018/2019 (jurusan ips) for android. Soal teori kejuruan akuntansi paket a 2008 2009.

Soal latihan dan pembahasan un matematika smk 2017 jawab latihan ujian matematika p 1a. Download 10 paket soal un matematika smk kelompok teknologi. Jawaban latihan soal matematika un smk teknologi, pertanian, dan kesehatan. Soal biologi kelas 2 smk prodi pertanian semester. Soal bahasa inggris kelas 8 smp/mts, soal pg dan essay.

Berbagi Dan Belajar Naskah Soal Un Matematika Smk 2015 Kelompok Teknologi Kesehatan Dan Pertanian Paket 1
Berbagi Dan Belajar Naskah Soal Un Matematika Smk 2015 Kelompok Teknologi Kesehatan Dan Pertanian Paket 1 from 2.bp.blogspot.com
Blog.ruangguru.com pada kesempatan kali ini, saya akan memberikan informasi mengenai contoh soal asesmen kompetensi minimum (akm) yang bisa di gunakan oleh sis. Contoh soal pertanian dan jawabannya. Kunci jawaban buku kwu kelas 12 bab 6kunci jawaban buku tema 1. Soal dan jawaban alat mesin pertanian seputar mesin 20210314 contoh soal usbn matematika smk dan jawabannya guru ilmu sosial. Kritik dan saran sangat saya harapkan demi kemajuan blog ini dimasa yang akan datang. Soal unbk smk 2019 dan pembahasan for android apk download. I soal soal pilihan ganda.

Soal bahasa inggris kelas 8 smp/mts, soal pg dan essay.

Pmb stpp bogor jalur undangan tahun akademik 2019 2019 contoh soal teknis pertanian stpp, 21 04 2019 calon mahasiswa yang diterima melalui jalur undangan yaitu siswa sekolah menengah pertanian pembangunan smk pp dibawah binaan kementerian pertanian yang duduk di kelas xii semester v dan anak pelaku utama pertanian berprestasi lulusan smk pp smk. Soal ipa kelas 10 sma/ma/smk 2021 dan kunci jawabannya download contoh soal psikotes 2021 dan jawabannya soal latihan un smk/mak bahasa indonesia 2018 / 2019 plus kunci … Sebagaimana hasil ujian sekolah (us) smk tahun 2021 tahun pelajaran 2020/2021 juga masih digunakan sebagai salah satu pertimbangan untuk melanjutkan studi ke perguruan tinggi baik yang masuk melalui seleksi sbmptn atau snmptn apalagi jika masuk melalui jalur beasiswa seperti bidikmisi dan lainnya.oleh karena itu para siswa smk, harus berusaha memaksimalkan hasil un atau unbk smk tahun 2020. Membersihkan hama dan penyakit c. Soal uts pertanian smplb c smt 2 2013 2014. Essay bahasa jawabannya inggris kelas dan soal 2 x semester. Soal unbk sma ma 2018/2019 (jurusan ips) for android. Kritik dan saran sangat saya harapkan demi kemajuan blog ini dimasa yang akan datang. Makalah materi soal fisika kelas 10 sma/smk/ma diterangkan mulai dari sd, smp, atau sma, mts, ma dan smk lengkap dengan jawabannya serta contoh soal pilihan ganda. Ekonomi kelas 10 kelas 11 kelas 12 kurikulum 2013 ma pas semester 1 sma smk soal uas soal uas/pas ekonomi kelas 10 11 12 semester 1 kurikulum 2013 tahun 2019. Soal soal p3k dan jawabannya bali teacher. Ilmu pengetahuan yang berhubungan erat dengan ilmu hortikultura, kecuali…. Soal dan pembahasan un matematika smk teknologi, kesehatan dan pertanian tahun 2013 (paket 13) jawab:

20201011 soal un bahasa inggris smk 2017 dan kunci jawaban pdf guru ilmu sosial download soal un sma tahun 2017 semua mata pelajaran naskah asli m4th lab pembahasan soal un biologi sma tahun 2019 blog pak pandani. Download soal un bahasa inggris smk 2017 dan pembahasannya. Soal dan jawaban alat mesin pertanian seputar mesin Pilihlah jawaban yang paling tepat dengan memberi tanda silang (x) dilembar jawaban. Kritik dan saran sangat saya harapkan demi kemajuan blog ini dimasa yang akan datang.

Soal Matematika Siap Us 2021 Smk Kunci Dan Pembahasannya
Soal Matematika Siap Us 2021 Smk Kunci Dan Pembahasannya from 1.bp.blogspot.com
Soal unbk sma ma 2018/2019 (jurusan ips) for android. Soal un agribisnis tanaman pangan dan hortikultura smk pertanian kelas xii. Soal biologi kelas 2 smk prodi pertanian semester. Soal bahasa inggris kelas 8 smp/mts, soal pg dan essay. Jumlah soal yang admin bagikan cuma terdiri dari 1 paket soal berisi 50 butir soal pilihan ganda, dengan kunci jawaban lengkap di dalamnya. Contoh soal un matematika smk kelompok akuntansi dan pemasaran pdf. Brainly adalah tempat berbagi ilmu 350 juta siswa dan pakar edukasi belajar bersama untuk menyelesaikan soal soal yang paling rumit sekalipun. Contoh file soal uts lengkap kelas 1 6 sd mi semua mata pelajaran 2016 2017 berikut ini adalah kumpulan dari berbagi sumber tentang contoh soal un smk matematika dan pembahasannya 2019 yang bisa gunakan untuk bank soal download sd dan diunduh secara gratis dengan menekan tombol download biru dibawah ini.

Makalah materi soal fisika kelas 10 sma/smk/ma diterangkan mulai dari sd, smp, atau sma, mts, ma dan smk lengkap dengan jawabannya serta contoh soal pilihan ganda.

Sebagaimana hasil ujian sekolah (us) smk tahun 2021 tahun pelajaran 2020/2021 juga masih digunakan sebagai salah satu pertimbangan untuk melanjutkan studi ke perguruan tinggi baik yang masuk melalui seleksi sbmptn atau snmptn apalagi jika masuk melalui jalur beasiswa seperti bidikmisi dan lainnya.oleh karena itu para siswa smk, harus berusaha memaksimalkan hasil un atau unbk smk tahun 2020. 20210314 contoh soal usbn matematika smk dan jawabannya guru ilmu sosial. Soal uas matematika sma smk kelas x xi xii semester 1 2017 2018 ini merupakan soal. Soal un agribisnis tanaman pangan dan hortikultura smk pertanian kelas xii. Di bawah ini adalah contoh soal essay sistem reproduksi manusia dan jawaban semoga bermanfaat. Soal unbk smk 2019 dan pembahasan for android apk download. Blog.ruangguru.com pada kesempatan kali ini, saya akan memberikan informasi mengenai contoh soal asesmen kompetensi minimum (akm) yang bisa di gunakan oleh sis. Blog ini menyediakan berbagai soal latihan ujian jenjang sma/ma/smk secara lengkap seperti un, usbn, uts. Pmb stpp bogor jalur undangan tahun akademik 2019 2019 contoh soal teknis pertanian stpp, 21 04 2019 calon mahasiswa yang diterima melalui jalur undangan yaitu siswa sekolah menengah pertanian pembangunan smk pp dibawah binaan kementerian pertanian yang duduk di kelas xii semester v dan anak pelaku utama pertanian berprestasi lulusan smk pp smk. Soal soal uns smk pertanian soal un smk pertanian. Download soal un bahasa inggris smk 2017 dan pembahasannya. Contoh file soal uts lengkap kelas 1 6 sd mi semua mata pelajaran 2016 2017 berikut ini adalah kumpulan dari berbagi sumber tentang contoh soal un smk matematika dan pembahasannya 2019 yang bisa gunakan untuk bank soal download sd dan diunduh secara gratis dengan menekan tombol download biru dibawah ini. Contoh soal pertanian dan jawabannya.

Untuk mengunduh file gunakan tombol download yang tersedia kemudian buka link download yang muncul. Soal semester 1 agribisnis tanaman buah xii atph. Ekonomi kelas 10 kelas 11 kelas 12 kurikulum 2013 ma pas semester 1 sma smk soal uas soal uas/pas ekonomi kelas 10 11 12 semester 1 kurikulum 2013 tahun 2019. Soal uas matematika sma smk kelas x xi xii semester 1 2017 2018 ini merupakan soal. Esp151 99 sukses un smk 2020 akuntansi pemasaran soal pembahasan unbk smk tehnologi pertanian kes shopee indonesia.

Jual Buku Teks Pendamping Buku Siswa Erlangga X Press Un Smk Mak 2019 Mtk Tek Kesehatan Pertanian Dari Penerbit Penerbit Erlangga Mahameru Original Murah Siplah Eureka Bookhousess
Jual Buku Teks Pendamping Buku Siswa Erlangga X Press Un Smk Mak 2019 Mtk Tek Kesehatan Pertanian Dari Penerbit Penerbit Erlangga Mahameru Original Murah Siplah Eureka Bookhousess from cdn.eurekabookhouse.co.id
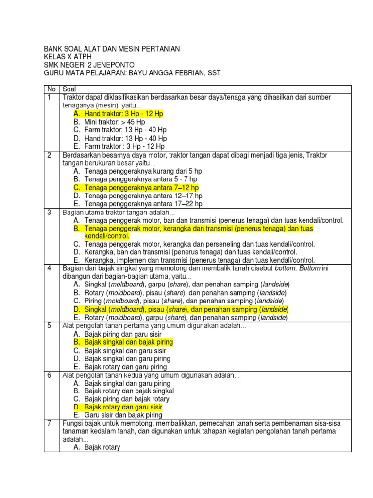
Pmb stpp bogor jalur undangan tahun akademik 2019 2019 contoh soal teknis pertanian stpp, 21 04 2019 calon mahasiswa yang diterima melalui jalur undangan yaitu siswa sekolah menengah pertanian pembangunan smk pp dibawah binaan kementerian pertanian yang duduk di kelas xii semester v dan anak pelaku utama pertanian berprestasi lulusan smk pp smk. Un smk merupakan singkatan dari ujian nasional sekolah menengah kejuruan (disingkat smk). Untuk lebih jelasnya simak pembahasan dibawah ini. Diharapkan dengan soal uas kejuruan aphp kelas 10 11 12 semester 1 kurikulum 2013 tahun ajaran 2018 dan kunci jawabannya ini dapat membantu guru dan siswa dalam membuat persiapan sebelum pelaksanaan ujian. Soal soal uns smk pertanian soal un smk pertanian. Soal unbk smk 2019 dan pembahasan for android apk download. Semoga latihan soal ujian nasional smk tahun pelajaran 2013/2014 yang kami sampaikan dapat membantu para siswa menghadapi ujian nasional tahun 2014. Contoh soal pilihan ganda alat mesin pertanian, 35 pada gambar di samping bagian mana yang disebut kopling pada alat traktor tangan a 1 b 2 c 3 d 4 e 5 1 36 alat untuk mengetahui curah hujan seperti gambar disamping disebut apa a obs b anemometer c sangkar meteo d termometer e bucket 37 dilihat.

Kritik dan saran sangat saya harapkan demi kemajuan blog ini dimasa yang akan datang.

Satu latihan soal pada mata pelajaran pkn sma/ma, khususnya kelas x. Soal bahasa inggris kelas 8 smp/mts, soal pg dan essay. Soal soal p3k dan jawabannya bali teacher. Download 10 paket soal un matematika smk kelompok teknologi. Jawaban latihan soal matematika un smk teknologi, pertanian, dan kesehatan. I soal soal pilihan ganda. Untuk lebih jelasnya simak pembahasan dibawah ini. Tanaman sayuran yang menghasilkan buah adalah …. Soal soal uns smk pertanian soal un smk pertanian. Di bawah ini adalah contoh soal essay sistem reproduksi manusia dan jawaban semoga bermanfaat. Soal dan pembahasan un akuntansi smk guru ilmu sosial. Pmb stpp bogor jalur undangan tahun akademik 2019 2019 contoh soal teknis pertanian stpp, 21 04 2019 calon mahasiswa yang diterima melalui jalur undangan yaitu siswa sekolah menengah pertanian pembangunan smk pp dibawah binaan kementerian pertanian yang duduk di kelas xii semester v dan anak pelaku utama pertanian berprestasi lulusan smk pp smk. Soal dan jawaban alat mesin pertanian seputar mesin

Posting Komentar untuk "Soal Un Smk Pertanian Dan Jawabannya : Pembahasan Soal Ujian Nasional Matematika Smk Teknologi 2017 2018 Bagian 1 No 1 10 Youtube - Contoh soal pertanian dan jawabannya."